EVO真人

    新闻中心
    NEWS CENTER
    资讯分类

    生物催化系列 — 醛缩酶

    • 分类:行业动态
    • 发布时间:2025-08-22 13:21
    • 访问量:

    【概要描述】醛缩酶(aldolase)是裂解酶的一种,可以有效地催化供体酮或醛对受体醛的立体选择性加成。

    生物催化系列 — 醛缩酶

    【概要描述】醛缩酶(aldolase)是裂解酶的一种,可以有效地催化供体酮或醛对受体醛的立体选择性加成。

    • 分类:行业动态
    • 发布时间:2025-08-22 13:21
    • 访问量:
    详情

    醛缩酶介绍:

    醛缩酶(aldolase)是裂解酶的一种,可以有效地催化供体酮或醛对受体醛的立体选择性加成。

    根据醛缩酶对供体的专一性不同,可分为乙醛依赖型醛缩酶、磷酸二羟丙酮(DHAP)依赖型醛缩酶、二羟基丙酮(DHA)依赖型醛缩酶、丙酮酸/磷酸稀醇式丙酮酸依赖型醛缩酶和甘氨酸依赖型醛缩酶等五类醛缩酶。根据酶的催化机理,醛缩酶又可以分为I 类醛缩酶和II 类醛缩酶[1]:I 类醛缩酶活性中心的赖氨酸会与羰基共价连接形成席夫碱,随后进攻受体醛;II 类醛缩酶活性中心的组氨酸会与金属离子(通常为Zn2+)结合,形成路易斯酸后,结合底物上的醛基发生催化反应[2,3]

    DERA醛缩酶是2-脱氧核糖-5-磷酸醛缩酶 (2-deoxyribose-5-phosphate aldolase, DERA),属于乙醛依赖型醛缩酶。DERA与其它醛缩酶的区别在于它催化的底物都是醛类,可以催化连续的醛缩反应,如图1。DERA属于I类醛缩酶,常存在于高等生物中,一般是分子量为160 kDa 的四聚体,每个亚基均为(α/β)8桶状结构[4]。这类酶中参与形成席夫碱的关键活性氨基酸残基为Asp102,Lys167和Lys201[5]

    图1. DERA催化连续醛缩反应

    该酶已被应用于合成不同药物中间体,包括降胆固醇药物、抗癌药物等中间体。

    实例1、制备2-脱氧核糖-5-磷酸(天然产物)[6]

    实例2、制备阿托伐他汀(降胆固醇药物)的双手性中间体[7]

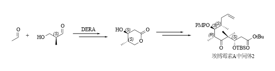
    实例3、合成埃博霉素A(抗癌药物)中间体[8]

    ①合成埃博霉素A中间体1

    ②合成埃博霉素A中间体2

    醛缩酶作为绿色生物催化剂,可以在温和条件下合成出新的C-C键,且具有立体选择性。同昂贵的金属催化剂相比,醛缩酶催化具有更经济、更环保的优势。

     

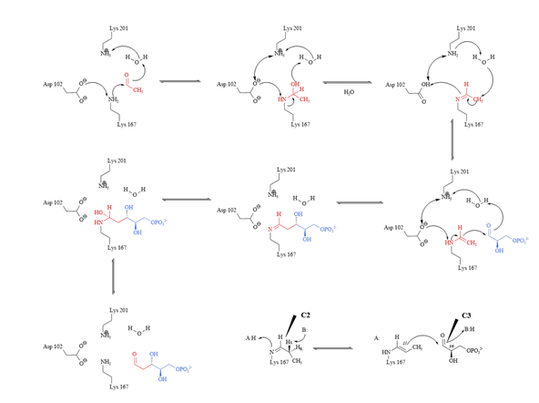
    醛缩酶的催化机理[9]:

    DERA醛缩酶活性中心Lys167上的ε-氨基和供体上的羰基结合,形成烯胺中间体,然后攻击受体羰基碳的Re面,形成新的C-C键,并产生R构型的立体中心。活性位点附近的水分子和两个氨基酸残基(Asp102,Lys201)组成了质子延迟系统,不仅为供体乙醛C2位上的亚胺和烯胺的质子重排提供质子,还为后续C3位上的羟基质子化提供质子,详见图2。

    2. DERA的催化机理

     

    醛缩酶酶库和酶开发服务:

    EVO真人从2007年来就专注于生物酶和生物催化技术以及合成生物学技术的开发与应用研究。EVO真人现有的醛缩酶酶库(EVO真人代号:ES-DERA)中包含12种不同的醛缩酶,可以为客户提供酶筛选、酶促反应工艺优化、酶改造和生产供应等服务。

     

    参考文献:

    [1]李子杰, 利用磷酸二羟基丙酮依赖型醛缩酶在体外和体内进行稀有单糖的合成. [D]. 山东: 山东大学, 2012.

    [2]Cowan D A. Comp Biochem Physiol A Physiol, 1997, 118(3) : 429-438.

    [3]Hao J, Berry A. Protein Eng Des Sel, 2004, 17(9) : 689-697.

    [4]阚叶依, 醛缩酶催化含氟模块的碳链延长. [D]. 四川: 四川大学, 2021.

    [5]Heine, A., G. DeSantis, J. G. LuZ, M. et al. Science, 294: 369-374.

    [6]Gijsen H J M, Wong C H. Journal of the American Chemical Society. 1994, 116(18): 8422-8423.

    [7]Jenneweinl S, Schtirmann M, et al. Biotechnology Advances, 2006, 1: 537-548.

    [8]Junjie L and Chi-Huey W. Angew. Chem. 2002, 114: 1462-1465.

    [9]陈琦, 羧酸酶的分子改造和突变酶的酶学性质研究. [D]. 浙江: 浙江大学, 2019.

    ×

    搜索

    搜索
    这是描述信息

    热线:021-68187180

    传真:021-68187179

    邮箱:services@ysgfo.com

                        sales@ysgfo.com

    地址:上海市浦东新区周浦镇蓝靛路1199号

    这是描述信息
    版权所有©EVO真人(上海)有限公司    沪ICP备09012407号      沪公网安备31011502015262号   
    ×