• EVO真人

    新闻中心
    NEWS CENTER
    资讯分类

    西格列汀固定化转氨酶简介

    • 分类:公司新闻
    • 发布时间:2024-09-24 15:49
    • 访问量:

    【概要描述】西格列汀是第一个用于治疗II型糖尿病的二肽基肽酶-IV抑制剂药物,该药物可以通过酶催化工艺合成。

    西格列汀固定化转氨酶简介

    【概要描述】西格列汀是第一个用于治疗II型糖尿病的二肽基肽酶-IV抑制剂药物,该药物可以通过酶催化工艺合成。

    • 分类:公司新闻
    • 发布时间:2024-09-24 15:49
    • 访问量:
    详情
    一、西格列汀转氨酶简介

    西格列汀是第一个用于治疗II型糖尿病的二肽基肽酶-IV抑制剂药物,该药物可以通过酶催化工艺合成。

    利用酶法合成西格列汀,选用的酶有氧化还原酶、葡萄糖脱氢酶、脂肪酶、ω-转氨酶等,选用ω-转氨酶合成西格列汀是一种主流的合成策略。

    ω-转氨酶已经在自然界中的多种野生菌里被发现, 例如来源于细菌的紫色色杆菌(Chromobacterium violaceum)、苏云金芽孢杆菌(Bacillus thuringiensis)以及来源于真菌的黑曲霉(Aspergillus niger)等。第一个R型转氨酶来源于土壤细菌Arthrobacter sp. KNK168,以3,4-二甲氧基苯丙胺为唯一氮源,富集培养筛选获得。ω-转氨酶与其他转氨酶一样,以磷酸吡哆醛(PLP)为辅酶,催化氨基与酮基进行可逆的转氨反应。ω-转氨酶在所有转氨酶中具有较大的结合口袋,所以可以结合比天然氨基酸体积更大的底物,具有广泛的底物特异性,可用于手性胺、非天然氨基酸如β-氨基酸的制备[1]

    Merck公司开发的酶法制备西格列汀的绿色合成路线,就是利用了来源于Arthrobacter sp. KNK168的ω-转氨酶ATA117[2,3]
     
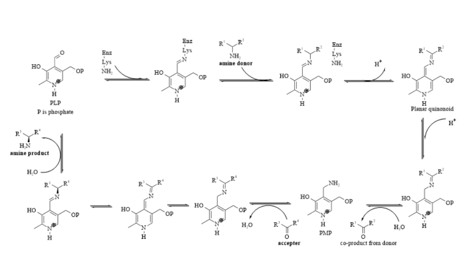
    二、ω-转氨酶催化机理

    ω-转氨酶的催化过程由两个半反应组成,是典型的乒乓双反应机制(Ping-Pong Bi-Bi机制)。第一个半反应可分为三个步骤:①PLP与酶分子活性位点上的赖氨酸ε-氨基形成内部醛亚胺,随后胺供体的氨基亲核攻击PLPC4位,引发氨基转移,胺供体取代了赖氨酸并形成外部酰亚胺;②催化中心的赖氨酸残基结合胺供体的原子的质子,并将其转移至辅酶的C4位,从而生成酮亚胺中间体;③酮亚胺中间体水解,生成相应的酮和磷酸吡哆胺(PMP)。第二个半反应可以视为前一个半反应的逆反应:PMP的氨基基团亲核攻击底物酮的原子,并通过脱水缩合形成酮亚胺,再通过质子转移形成内部醛亚胺结构,并最终释放出手性胺和PLP

    三、EVO真人西格列汀固定化转氨酶介绍

    EVO真人从2007年来就专注于生物酶和生物催化技术以及合成生物学技术的开发及其在医药领域的应用研究。EVO真人已开发了用于西格列汀API制备的固定化转氨酶,产品代码为SZ-0022E-IMMO-B,已实现商业化生产与供应。EVO真人SZ-0022E-IMMO-B产品参数如下:

     

    EVO真人SZ-0022E-IMMO-B产品优势如下:
    ①、反应转化率≥90%,产物手性纯度≥99.9%;
    ②、可用于纯有机体系;
    ③、过滤操作简单,易于后处理;
    ④、易于回收,套用次数大于50次,节省成本。

     
    参考文献
    [1]Jong-Shik Shin, Byung-Gee Kim. J. Org. Chem. 2002, 67, 2848-2853.
    [2]王璐.转氨酶ATA117在大肠杆菌中的高效重组表达及催化制备西他列汀[D].浙江:浙江大学. 2014.
    [3]Christopher K. Savile, Jacob M. Janey, Emily C. Mundorff, et al. Science, 2010, 329(16), 305-309.
     

     

    - END -
    ×

    搜索

    搜索
    这是描述信息

    热线:021-68187180

    传真:021-68187179

    邮箱:services@ysgfo.com

                        sales@ysgfo.com

    地址:上海市浦东新区周浦镇蓝靛路1199号

    这是描述信息
    版权所有©EVO真人(上海)有限公司    沪ICP备09012407号      沪公网安备31011502015262号   
    ×